Aprenderly
Explore
Ciencia
Ciencias sociales
Historia
Ingeniería
Matemáticas
Negocio
Numeración de las artes
Top subcategories
Advanced Math
Estadísticas y Probabilidades
Geometría
Trigonometry
Álgebra
other →
Top subcategories
Astronomía
Biología
Ciencias ambientales
Ciencias de la Tierra
Física
Medicina
Química
other →
Top subcategories
Antropología
Psicología
Sociología
other →
Top subcategories
Economía
other →
Top subcategories
Ciencias de la computación
Diseño web
Ingeniería eléctrica
other →
Top subcategories
Arquitectura
Artes escénicas
Ciencias de la religión
Comunicación
Escritura
Filosofía
Música
other →
Top subcategories
Edad Antigua
Historia de Europa
Historia de los Estados Unidos de América
Historia universal
other →
Sign in
Sign up
Upload
Ciencia
Biología
Bioquímica
Genética
Ciencia
Biología
Bioquímica
Genética
2016/2017 - DANZA M ADULTOS 1. GRUPO AVANZADO
07d- Generador
Nombre - trcsmshw
mmc1 - Elsevier
MANEJO DE LAS SERIES** *Datos * dpi= ingreso
Malla currilcular 1999
¡Hacer deporte es divertido! ¡Pero siempre debes ponerte un
Ingenierías técnicas que pasan a ser grados en
grant description gbl vendor date transaction id amount 3110
Gr. Arct. Diat. 1880, p. 120, t. 7, f. 7, f. 134, VH Syn. p. 195, t. 82, f. 5
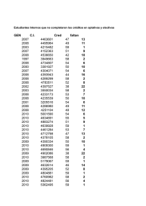
GEN C.I. Cred faltan 2007 4463601 47 13 2008 4495964 49 11
GEN B Ecc-U19 U17-U15 U15-U14 U13-Eso U14
Finale 2003 - [Bach
general locales - Circuito Cinco Leguas Mayte Martínez
friday - City of Miami
Expenses WkShts - TAX ASSOCIATES, INC.
clasificacion por categorias (trail largo)
Circuito - Seronda Trail Series
CE -> Clasificación por equipos cursa dona
Búsqueda: autoria:"Nicolini Duarte, M.P." Registros recuperados: 1
Cuadro de maniobras
<
1
...
544
545
546
547
548
549
>